Declaration of Ownership and Intent to Keep Your Newborn’s Placenta and More: Because Hospitals Harvest and Cash In On It, Without Your Informed Consent
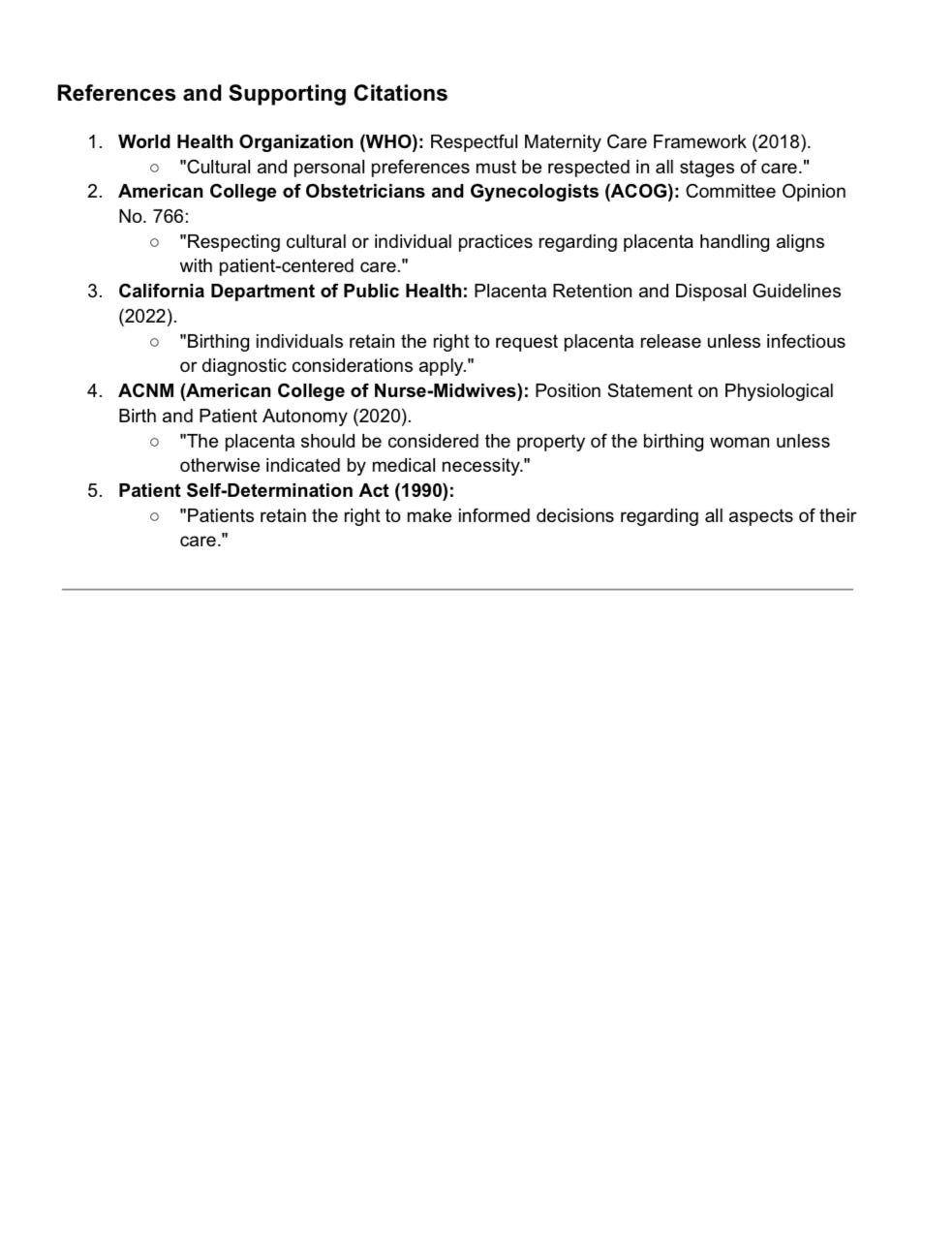
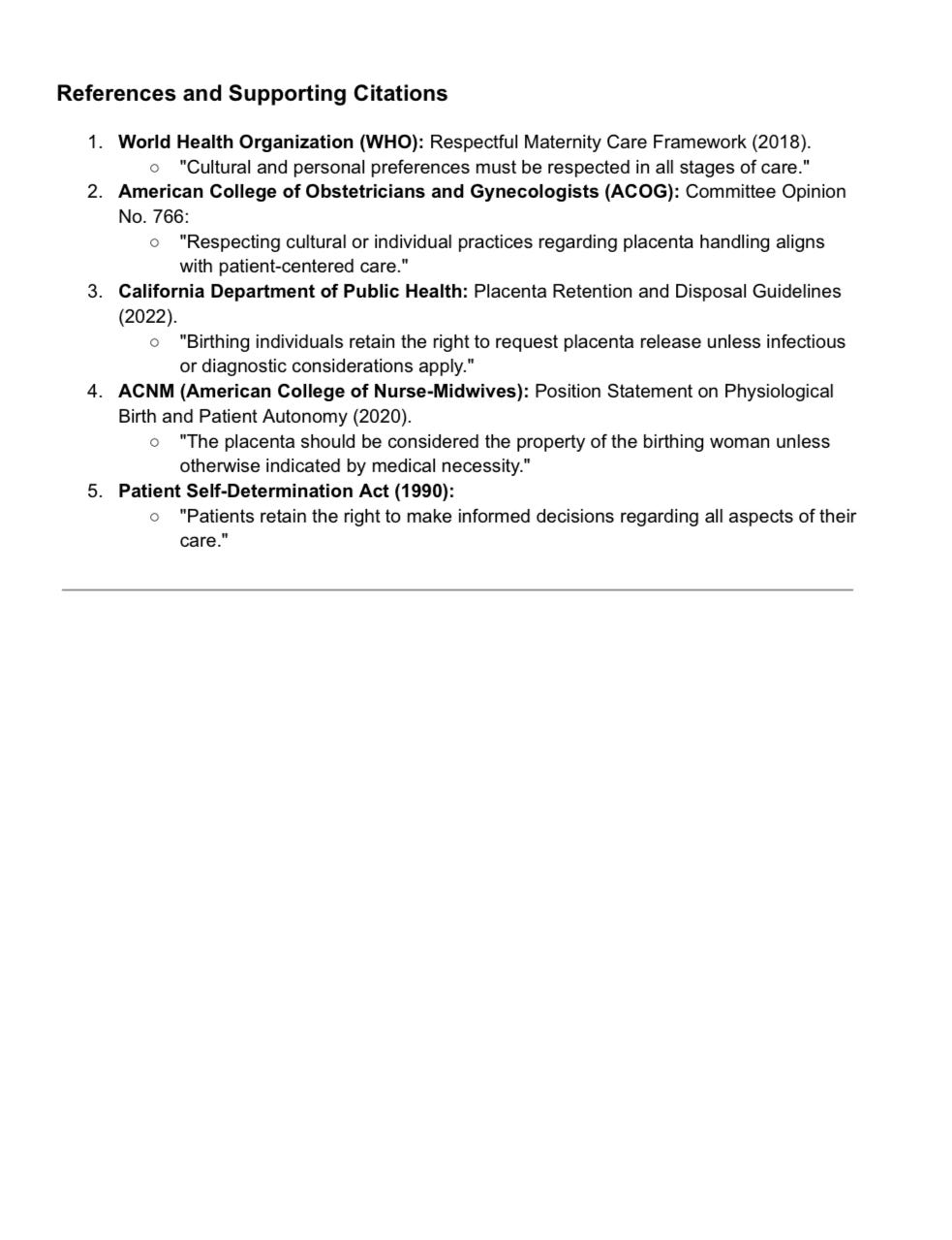
#ProtectThePlacenta
The Tweet
Source: https://x.com/andrewkaufmanmd/status/1951978900822622310?s=46
The Thread
The Article
Midwife Claudia Booker, 65, prepares a placenta for encapsulation in her Washington, D.C. home on Friday, July 25 2014. Some new mothers consume their placentas to obtain perceived health benefits.
SARAH L. VOISIN/ THE WASHINGTON POST/ GETTY IMAGES
Protect your placenta!
I recently saw a video with Brother Polight, who among many titles is also a black power activist, talking about his four wives giving birth at home — and how he leaves the newborn baby attached to the placenta, not immediately cutting it at birth.
He spoke about how in hospitals, the placenta and umbilical cord are taken and sold without the knowledge — or financial gain — of mothers, which is why his family opts for home births. When I heard this, I was very sceptical and dismissive, because it goes against everything I have seen on TV or been taught in school — I balled up my fist and was like, "power to you", and kept it moving.
Fast-forward a couple of days and I see a headline on Forbes' online publication which reads "Celgene Spinout Celularity Raises $250-million [~R3.1-billion] to Develop Placental Cells To Attack Cancer" Celularity, a biotech start-up, has earned approximately $10-million [~R125-million] in annual sales from the storage and use of cord blood taken from umbilical cords after birth.
The company sells parents an insurance policy to store the cord blood for them in case their child gets sick in the future and they need their original stem cells — and they also can use "some blood" to create cures they sell. Now they have their eyes on placentas, so they can develop cells from placentas to cure cancer and Crohn's disease.
I took a closer look at the board of Celularity, which is composed of the "superstars of Silicon Valley" — with John Sculley, who was once the CEO of Apple, Bill Maris, the former CEO of Google Ventures, Peter Diamandis, serial entrepreneur and Andrew von Eschenbach, a former commissioner of the Food and Drug Administrator (FDA).
I was really disturbed by this all-male board composition, because these men have not been vocal about the #MeToo movement or diversity in Silicon Valley, yet are very keen to derive profit from the bodies of women.
In most countries it is illegal to sell human organs, therefore mothers cannot sell their placenta and umbilical cord. Women usually leave the placenta and umbilical cord at the hospital under the assumption that it will either be discarded as medical waste, or donated to advance science.
Most hospitals do not disclose what happens to the placenta — however, some have come under fire, since it has been revealed that they sell them to research or cosmetology companies. Therefore, Celularity will be receiving the placenta and umbilical cord for a steal, as no one really knows what it's worth — because it is priceless.
This is not the first time women's bodies have been used to boost the bottom line without their consent. Henrietta Lacks was an African-American woman who died at the age of 31 in 1951, yet her "immortal HeLa cells" are still being used in medical research today, and have been commercialised.
Some people plant trees on top of the placenta (check with your municipal regulations) make smoothies, placenta pasta, turn it into capsules or even turn it into jewellery.
Her cells were harvested without her knowledge, permission or compensation. In 2017 Oprah Winfrey produced and starred in an HBO movie called "The Immortal Life of Henrietta Lacks", which documents the journey of Henrietta's daughter, Deborah, coming to learn about her mother and her contribution to the medical field.
So, should you take your placenta 'to go'?
Well, that's entirely up to you, but I would propose that you take it home with you. The placenta and umbilical cord are what has kept you and your precious baby connected for the time of your pregnancy, so it is something special. Some people plant trees on top of the placenta (check with your municipal regulations) make smoothies, placenta pasta, turn it into capsules or even turn it into jewellery.
If you want to take it home, you need to have a Placenta Plan. Here is a really informative video — a step-by-step guide on how to make sure you leave the hospital with your placenta as safely and hassle-free as possible. After delivery, the doctor may need to inspect your placenta, especially if your pregnancy was complicated — but if you want to take it, ask if the doctor can take a sample or conduct a visual examination.
If we are pro-choice, then let's go all the way in deciding what a woman does with the power of her placenta, as long as it doesn't infringe on the rights of another person.
If that's not your cup of tea, then by all means, leave it at the hospital — but ask what they will do with it in writing. What is alarming is that women whose placentas are used by companies like Celularity do not receive compensation or recognition — and in most instances won't be able to afford the cures or treatments developed from their own bodies.
In South Africa, according to the Human Tissues Act, 65 of 1983, the placenta, foetal tissue and umbilical cord shall not be used for the production of a therapeutic or prophylactic substance unless one obtains the consent of the Minister of Health. However, I think there is an opportunity to test to the constitutionality of this against section 9 (3), which says that the state may not unfairly discriminate against anyone on grounds including conscience, belief and culture.
Therefore, women should be allowed to safely use their placenta to create substances that nourish them and the baby. If we are pro-choice, then let's go all the way in deciding what a woman does with the power of her placenta, as long as it doesn't infringe on the rights of another person.
Whitney Houston was right when she said "the children are the future" — because in Silicon Valley, they are literally looked to the children to prolong the lives of the ageing and cure the sick with their stem cells. Peter Thiel, a billionaire, has even invested in Ambrosia — a startup that is charging $8,000 [~R100,000] a pop for blood transfusions from people under 25 — I guess he's #TeamEdward!
The CEO of Celularity said "the placenta is biological crude oil". No doubt, akin to other extractive industries like mining, those who own the natural resources are not expected to benefit from the wealth. Whether you believe in God or not, we can all recognise how miraculous the placenta and umbilical cord are — truly natural resources — and as women, we need to preserve the integrity and power of the placenta.
If you read this article and it resonates with you, please use #protecttheplacenta to have a wider conversation on social media.
Source: https://www.huffingtonpost.co.uk/tiyani-majoko/biotech-still-profiting-from-womens-bodies-without-their-consent_a_23370620/?utm_campaign=share_twitter&ncid=engmodushpmg00000004
Declaration of Ownership and Intent
Page 1
Page 2
Page 3
Page 4
Page 5
PDF Source: https://static1.squarespace.com/static/544118f5e4b0178deca2a77b/t/67473c6939df647712e6479c/1732721769676/Placenta+Rights+Declaration+%26+Information+Document+%281%29.pdf
PA Midwife . Com
BIRTH PLANNING
Your Birth, Your Baby, Your Terms — Not Theirs.are you preparing for a hospital birth and want more than a fill-in-the-blank plan that no one reads? what you need is a legally defensible, rights-based birth plan that actually protects you and your baby. this is not a checklist. this is a declaration of autonomy. a weapon against coercion. a blueprint for every parent and every birth worker who’s tired of watching the system rob women of dignity in their most sacred moments.
✅ refusing pitocin for induction or augmentation—with citations and safer options like im dosing or physiologic third stage.
✅ protecting your placenta as your property—not hospital waste.(you know they have contracts to sell them)
✅ declining vaginal exams, cervical checks, and forced monitoring—and knowing they legally can’t touch you without consent.
✅ preserving the umbilical cord—no clamping until you say it's done.
✅ demanding accurate disclosure of quantitative blood loss, not vague guesses—because you deserve real data before decisions are made.
✅ holding firm against the “big baby” scare tactics—with real evidence and zero fear-mongering.
✅ documenting every intervention, employee name, and chart entry—yes, you can photograph your ehr.
✅ refusing newborn interventions like vitamin k, hep b, eye ointment, and even heel sticks, with clear understanding of what you’re declining and why.
✅ enforcing parental rights in the nicu, including the right to informed refusal, second opinions, and immediate legal counsel.
✅ challenging unnecessary phototherapy and exaggerated bilirubin thresholds that separate mothers and babies.
✅ ensuring doulas and support people are respected as medical witnesses, not spectators.
✅ asserting your right to photograph and film your birth—because documentation is protection.this is the complete birth and newborn care advocacy series —a fully referenced, fire-tested guide to taking your power back in the hospital. built from legal, ethical, and medical standards. written for families, doulas, and birth professionals who refuse to be silent while coercion, fear, and policy replace consent and evidence.
🔥 this is how you save a birth before it needs saving.
🔥 this is how you guard a baby’s first hour from being stripped by protocol.
🔥 this is how you stop abuse before it starts.👉 download now. print it. bring it. enforce it.
and never again hand over your birth hoping they’ll do the right thing. make sure they have no choice.As Above.
https://www.pamidwife.com/contact-us
Link: https://www.pamidwife.com/advocacy
WHAT I REALLY THINK
They have been taking baby blood and placentas for decades. As our eyes open, we see further into the abyss of moral decay that separates us from God.
As exhausting as it is to share such evil news with you day to day, I am grateful that you have a strong foundation in ethics and spirituality, that your eyes can see and share, that we can save more souls, and that we can stop the stream of easy death and destruction TOGETHER!
Lord, give us the strength to fight this! Open more eyes! Save the children!
Let Us Pray
Holy God of All Creation,
Nothing surprises You. While we are exasperated and furious, turn our attention to use these evil things for the good of Your Glory, by saving more souls and opening more eyes!
We know that You have the revenge.
And we also know that our job is to shine the light and expose this pure evil!
Mend our hearts, eyes, and spirits! Create in us a stronger, more dedicated endeavor and GIVE US THE BOLDNESS THAT SURPASSES THAT OF THE EVIL ONE, WHO HAS BEEN DEFEATED BY CHRIST THE KING OF KINGS AND LORD OF LORDS!
Protect our infants and newborns from sharing their body parts with the evil ones! Cover them with THE BLOOD OF THE LAMB! Lead them into Your Kingdom!
We ask this in the Mighty Name of Jesus!
Amen!















































































I kept mine.
Great research Dr Aranda 🏆👏🏻🙂